


डेस्क खबर बिलासपुर../ जिले में धान खरीदी अब अपने अंतिम चरण में पहुंच चुकी है। ऐसे में खरीदी केंद्रों में रखे धान को समय पर राइस मिलों तक पहुंचाने के लिए प्रशासन लगातार प्रयासरत है, लेकिन इसी बीच बिल्हा ब्लॉक से धान कस्टम मिलिंग में बड़े फर्जीवाड़े के आरोप सामने आए हैं। मामला बिल्हा के केसला स्थित मां वैष्णवी एवं मां नारायणी राइस मिल से जुड़ा है, जहां पुराने बकाया के बावजूद नए पंजीयन के जरिए धान उठाव किए जाने की बात सामने आई है।

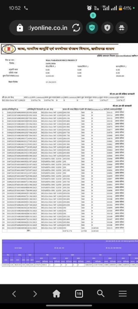
जानकारी के अनुसार, केसला स्थित मां नारायणी राइस मिल के संचालक अमित मित्तल ने वर्ष 2024-25 में धान खरीदी की थी। नियमों के अनुसार, उसे कुल खरीदी का कम से कम 50 प्रतिशत चावल शासन को जमा करना था। कुल 97 लॉट चावल जमा करने की बाध्यता थी, लेकिन अब तक केवल 41 लॉट ही जमा किए गए हैं। बकाया चावल जमा नहीं होने के कारण इस वर्ष कस्टम मिलिंग का पंजीयन मिलना संभव नहीं था।

इसी के चलते आरोप है कि संचालक ने उसी परिसर में स्थित कोढ़हा मिल को राइस मिल दर्शाते हुए नया पंजीयन (MA403339001) प्राप्त कर लिया, जबकि पुराने पंजीयन क्रमांक 407617001 के अंतर्गत बकाया चावल अब तक जमा नहीं किया गया है। बताया जा रहा है कि मिलर पुराने बकाया की भरपाई इस वर्ष उठाए गए धान से करने में जुटा है, ताकि भविष्य में पुराने पंजीयन के तहत फिर से पात्र हो सके।

मीडिया में मामला उजागर होने के बाद कलेक्टर ने संज्ञान लेते हुए खाद्य नियंत्रक अमृत कुजूर को जांच के निर्देश दिए हैं। इसके बाद तहसीलदार राजेंद्र भगत, सहायक खाद्य अधिकारी विनीता दास और खाद्य निरीक्षक ललिता शर्मा की संयुक्त जांच टीम गठित की गई है।





सबसे बड़ा सवाल यह है कि नवंबर माह में नया पंजीयन मिलने से पहले सहायक खाद्य अधिकारी द्वारा किए गए भौतिक सत्यापन में यह अनियमितता कैसे नजरअंदाज हो गई। क्या बिना विभागीय मिलीभगत के इस तरह शासन की आंखों में धूल झोंकना संभव है? या फिर बिलासपुर में भी किसी बड़े खुलासे का इंतजार किया जा रहा है, जैसा कवर्धा में देखने को मिला था। जांच के नतीजे आने के बाद ही स्थिति स्पष्ट हो सकेगी।
विक्रेता संघ के अध्यक्ष मगरपारा राशन दुकान घोटाला: जांच के बाद भी एफआईआर नदारद, प्रशासन की कार्रवाई पर उठे गंभीर सवाल
गौरतलब है कि मगरपारा क्षेत्र स्थित वार्ड क्रमांक 23 की शासकीय राशन दुकान (आईडी 401001096) में सामने आए गंभीर घोटाले के बावजूद अब तक आपराधिक प्रकरण दर्ज नहीं होने से प्रशासन की कार्यप्रणाली सवालों के घेरे में है। यह राशन दुकान विक्रेता संघ अध्यक्ष ऋषि उपाध्याय से जुड़ी बताई जा रही है, जहां पात्र हितग्राहियों से चावल के बदले अवैध रूप से पैसे वसूले जाने के आरोप सामने आए थे 07 जून 2025 को खाद्य विभाग द्वारा की गई जांच में सोशल मीडिया पर वायरल वीडियो और हितग्राहियों की शिकायतों के आधार पर अनियमितताओं की पुष्टि हुई। जांच में यह स्पष्ट हुआ कि महिला समूह के विक्रेता नियमों की अनदेखी करते हुए हितग्राहियों से अवैध वसूली कर रहे थे। जांच रिपोर्ट में आरोप सही पाए जाने के बाद 30 जुलाई 2025 को कलेक्टर कार्यालय की खाद्य शाखा ने दुकान को निलंबित कर दिया।

हालांकि कार्रवाई यहीं तक सीमित रह गई। जांच में महिला समूह की अध्यक्ष सत्यशीला उपाध्याय, सचिव पुष्पा दीक्षित और विक्रेता ऋषि उपाध्याय के खिलाफ आवश्यक वस्तु अधिनियम 1955 की धारा 3/7 के तहत प्रकरण बनाए जाने की बात कही गई थी, लेकिन अब तक थाने में एफआईआर दर्ज नहीं की गई है।

सूत्रों का कहना है कि प्रमाणित जांच रिपोर्ट और तत्कालीन कलेक्टर व खाद्य नियंत्रक अनुराग भदौरिया की मौजूदगी में की गई पुख्ता जांच रिपोर्ट के बावजूद कार्रवाई में देरी हो रही है। राजनीतिक दबाव या कथित संरक्षण की चर्चाएं भी सामने आ रही हैं, हालांकि इसकी आधिकारिक पुष्टि नहीं हुई है। अब बड़ा सवाल यह है कि प्रशासन केवल निलंबन तक सीमित रहेगा या कानून के तहत सख्त कार्रवाई कर राशन व्यवस्था की साख बचाएगा। जनता की निगाहें प्रशासन पर टिकी हैं। इतना ही विभागीय सूत्रों का दावा है कि तत्कालीन कलेक्टर अवनीश शरण के निर्देश के बाद पुख्ता जांच रिपोर्ट खाद्य नियंत्रक अमृत कुजूर ने अभी तक वर्तमान कलेक्टर तक पहुंचाई है इतना ही नहीं विभागीय सूत्र तो यहाँ तक दावा करते है खाद्य नियंत्रक ने अपनी दुकान की बहाली के लिए हाईकोर्ट गए ऋषि उपाध्याय की अपील में भी जांच रिपोर्ट को पेश नहीं कर कोर्ट को गुमराह कर ऋषि उपाध्याय को फायदा पहुंचाया है । वही पूरे जांच रिपोर्ट सहित दुकान संबंधित जानकारी के लिए लगाई गए सूचना के अधिकार के तरह एक पत्रकार द्वारा दिए गए आवेदन में नियमों का हवाला देकर जानकारी देने में भी जनसूचना अधिकारी लेट लतीफी कर रहे है ।क्योंकि सूत्र दावा करते है कि जांच रिपोर्ट सार्वजनिक होने के बाद ऋषि उपाध्याय और उसकी समिति के खिलाफ नियमों के तहत मामला दर्ज होना तय है ।